打印
【字体:大中小】
根据《北京瀛海太和劳动服务有限责任公司面向社会公开招聘劳务派遣人员公告》(2026年3月9日发布)和(2026年3月30日发布)的招聘整体工作安排,目前已完成笔试工作。结合实际情况,现就笔试成绩及面试公告如下。
一、笔试成绩
笔试成绩实行百分制,划定合格分数线为60分。
按照计划招聘人数与规定的面试人数比例1:3(活动策划岗1:5),在笔试成绩合格的考生中,根据笔试成绩从高分到低分排序确定面试人选。笔试成绩低于合格分数线的,不能确定为面试人选。
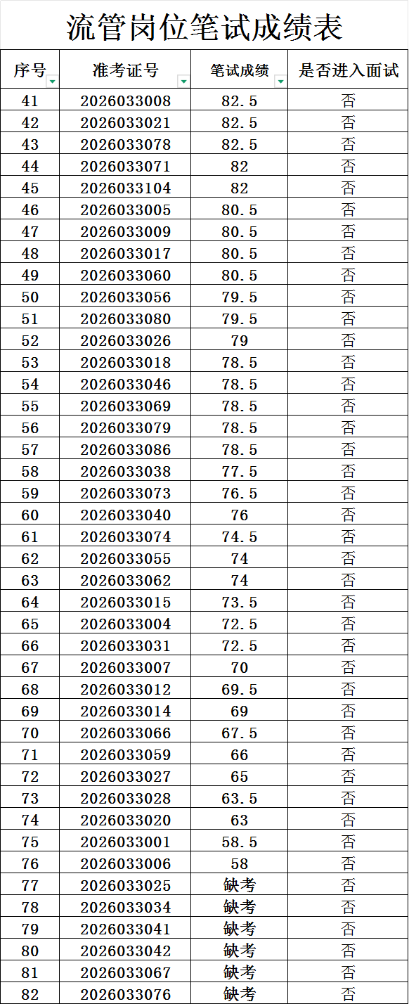
笔试成绩见附件。
笔试成绩公示时间为2026年4月15日至4月17日。
二、面试安排
(一)时间
2026年4月21日(星期二)下午。
考生请于13:30至13:45签到,13:45停止签到。请考生务必提前到候考地点等待签到。未在规定时间到达面试地点完成签到的考生,视为自动放弃。
(二)地点
候考地点为:北京市大兴区瀛海镇政务服务中心西310会议室(大兴区瀛海镇瀛安街45号院)。
(三)面试形式
采取结构化面试方式进行。
面试期间实行封闭管理,考生现场抽签确定面试顺序。
(四)成绩查询
面试成绩、综合成绩及进入体检、考察人员名单将通过北京市大兴区人民政府网站(网址https://www.bjdx.gov.cn/)通知公告发布,请及时关注和查询。
三、注意事项
1.请参加面试考生务必妥善安排好行程,按照本公告规定的时间报到。未按规定时间报到的,视为放弃面试资格。
2.请考生持本人有效居民身份证原件,配合查验后进行签到。
3.进入候考室后,请将通讯工具(包括但不限于手机、具备联网或通讯功能的平板电脑、智能手表或手环等设备)关闭后交予工作人员统一保存,从签到至面试结束不能与外界进行联系,请提前做好个人安排。
4.陪同人员不得进入考点。
5.考生入场后须服从工作人员安排,候考期间不得大声喧哗,面试结束后不得在考场附近逗留。
010-69283615(劳务派遣公司)
附件:




